原文链接及源码链接
原文:https://arxiv.org/abs/1807.07978v3
源码:https://github.com/MadryLab/blackbox-bandits
论文中相关方法



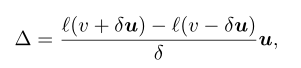
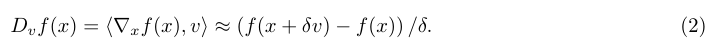
注意:算法2中,由于化简,我们可以仅对L进行两次查询就可估计△


算法
1 | while(total_queries > args.max_queries) : |
(٩(๑>◡<๑)۶)
原文:https://arxiv.org/abs/1807.07978v3
源码:https://github.com/MadryLab/blackbox-bandits



注意:算法2中,由于化简,我们可以仅对L进行两次查询就可估计△


1 | while(total_queries > args.max_queries) : |